
奥地利Xarion宽带空气耦合超声源TAE 是一种独特的、空气耦合的超声源,用于在宽频率范围内实现超声激励。该换能器通过快速电子放电产生狄拉克形状、空间聚焦的超声脉冲,在没有移动部件的情况下工作,与Xarion的光学麦克风非常匹配。根据焦长,有2个型号可选:TAE-20、TAE-30。适合材料的非接触超声评估NDE、声学光谱学。
奥地利Xarion宽带空气耦合超声源TAE 是一种独特的、空气耦合的超声源,用于在宽频率范围内实现超声激励。该换能器通过快速电子放电产生狄拉克形状、空间聚焦的超声脉冲,在没有移动部件的情况下工作,与Xarion的光学麦克风非常匹配。根据焦长,有2个型号可选:TAE-20、TAE-30。适合材料的非接触超声评估NDE、声学光谱学。
热声发射器
TAE-20
TAE-30
发射器类型
热声 thermoacoustic
焦点大小
1 mm
脉宽
1 µs (FWHM)
焦距
20 或 30 mm
频率范围
10 kHz-1 MHz
尺寸
ø 42 mm / 52 mm
峰值压力
>2000 Pa (>160 dBSPL)
操作电压
0 – 750 V
声场
聚焦声场
重量
250 g / 400 g
用光学麦克风测量热声发射器的声场

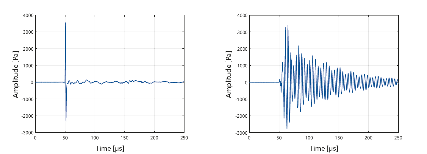
热声发射器的脉冲响应 vs 压电发射器的脉冲响应